
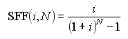
The sinking fund factor is a ratio used to calculate the future value of a series of equal annual cash flows. The equation for the sinking fund factor is:

|
where: |
|
|
|
|
i |
|
|
|
N |
= number of years |
For example, for i = 7% and N = 5 years, the sinking fund factor is equal to 0.1739. Therefore, five annual payments of $173.90 earning 7% interest are worth $1000.00 at the end of the fifth year.
See also