HOMER Knowledge Base
Autoregressive sequence
I would like further information about the first-order autoregressive sequences
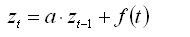
In an autoregressive sequence, the value in one time step depends on the values in earlier time steps. You can generate a first-order autoregressive sequence z1, z2, z3, ... using the following model:

Where a is a coefficient between zero and one, and f(t) is a random value drawn from an uncorrelated set. The appropriate value for a is the desired autocorrelation factor.