HOMER Knowledge Base
Autocorrelation
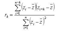
For a time series z1, z2, z3, ... zn, the following equation gives the autocorrelation coefficient at a lag of k hours:

In HOMER we refer to the one-hour autocorrelation coefficient (where k=1 in the above equation) as the "autocorrelation factor".