HOMER Knowledge Base
Calculating PV output in HOMER
I read how Homer calculates PV incident radiation and PV output, but is there any consideration for the effect on PV efficiency as a function of angle of incidence on the solar panel? I was not thinking of the shift in spectrum during the day, but rather the absorption in the cell as the angle changes (an even reflection off the glass).
HOMER assumes the efficiency remains constant, except for the effect of the temperature if you choose to consider that variable. So it ignores the effect of the angle of incidence.
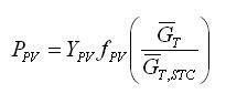
If you choose not to consider the effect of temperature, HOMER uses the following equation to calculate the PV output:

(That’s from the help file.) YPV, fPV, and GT,STC are all constants, meaning that HOMER assumes the PV power output is linear with the incident radiation GT .