HOMER Knowledge Base
How HOMER Pro calculates the PV array power output
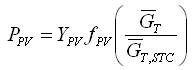
HOMER Pro uses the following equation to calculate the output of the PV array:

| where: | ||
| YPV | is the rated capacity of the PV array, meaning its power output under standard test conditions [kW] | |
| fPV | is the PV derating factor [%] | |
![]() | is the solar radiation incident on the PV array in the current time step [kW/m2] | |
![]() | is the incident radiation at standard test conditions [1 kW/m2] | |
| aP | is the temperature coefficient of power [%/°C] | |
| Tc | is the PV cell temperature in the current time step [°C] | |
| Tc,STC | is the PV cell temperature under standard test conditions [25 °C] |
If on the PV Inputs window you choose not to model the effect of temperature on the PV array, HOMER Pro assumes that the temperature coefficient of power is zero, so that the above equation simplifies to:

